网站地图
|
联系我们
首页
机构介绍
科研教育
办事服务
科普普法
药检文化
社会监督
下载专区
联系我们
当前位置:
首页
>
办事服务
>
生物制品批签发信息公示
>
公示详情
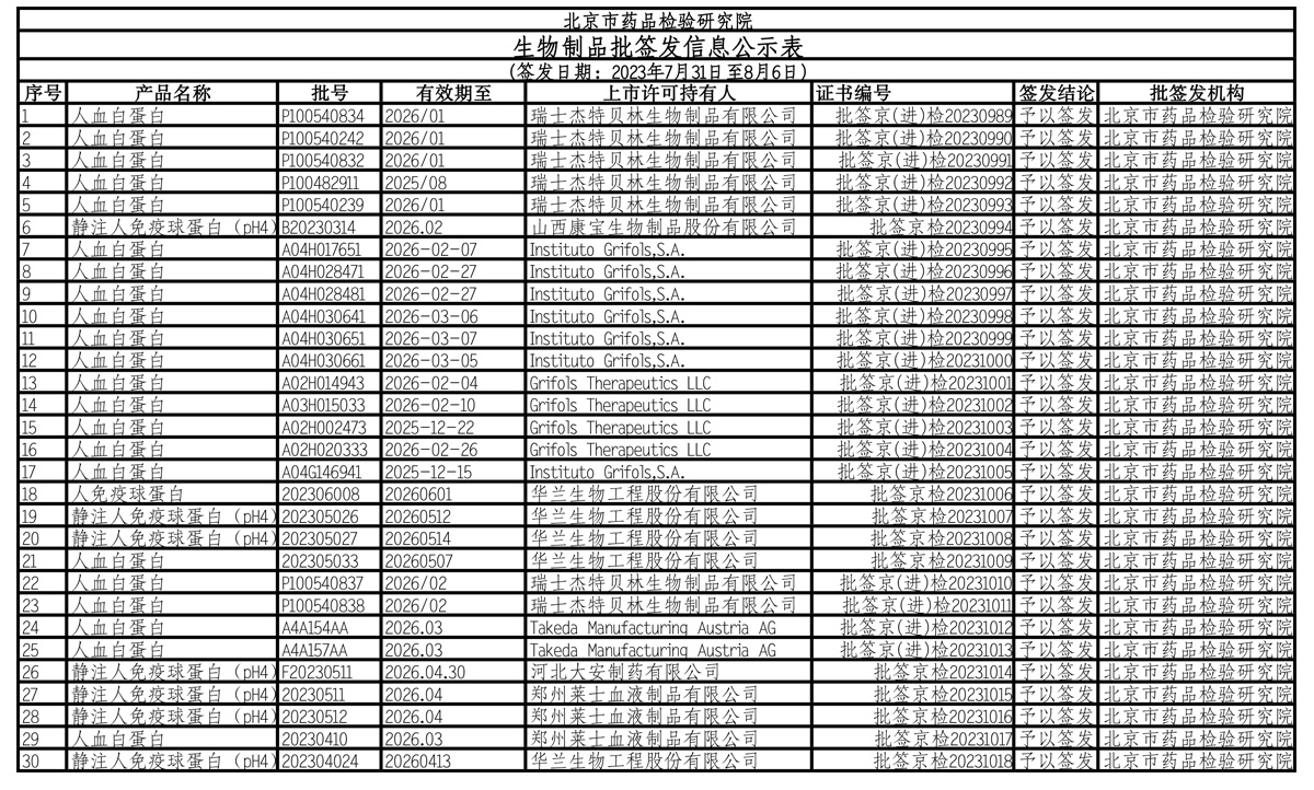
签发日期:2023年7月31日至2023年8月6日
版权所有 北京市药品检验研究院(北京市疫苗检验中心)
京ICP备17015304号-2
京公网安备110102003970
北京市药品检验研究院(北京市疫苗检验中心)标准与信息部建设和维护
北京市昌平区科学园路25号 102206